Temperaturberechnung
Ein Infrarotsensor detektiert Strahlung. Wie wird aus diesem Signal die Temperatur bestimmt? Mathematisch natürlich!
Die Antwort auf obige Frage ist die „Pyrometrische Grundgleichung“, oft auch „Thermografische Grundgleichung“ genannt. Diese bildet das mathematische Modell für die berührungslose Temperaturbestimmung anhand der Erfassung von Wärmestrahlung, beispielsweise mittels Strahlungsthermometern oder thermografischen Systemen.
ΦM = τA ⋅ ( ε ⋅ Φ(ϑO) + (1−ε) ⋅ Φ(ϑU)) + (1 – τA) ⋅ Φ(ϑA)
Diese Gleichung beschreibt die Zusammensetzung der detektierten Strahlung unter Berücksichtigung der vom Messobjekt aus dem Hintergrund durchgelassenen, seiner Temperatur und seines Emissionsgrades entsprechend abgestrahlten, sowie der aus der Umgebung reflektierten Strahlung, und schließlich der Transmission und Eigenstrahlung der Übertragungsstrecke.
Vereinfacht man diese Zusammenhänge auf den Fall eines strahlungsundurchlässiges Messobjektes und eine so kurze Messentfernung (bei Nutzung eines atmosphärischen Fensters), welches keine Strahlungsverluste verursacht und auch keine Eigenstrahlung einbringt, dann sieht die (stark vereinfachte) thermografische Grundgleichung wie folgt aus:
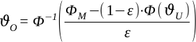
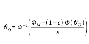
ΦM = ε ⋅ Φ(ϑO) + (1−ε) ⋅ Φ(ϑU)
Hierbei sind:
ΦM . . . gemessene Strahlung
ε . . . Emissionsgrad des Messobjektes
ϑU . . . Umgebungstemperatur (Durchschnittstemperatur der Gegenstände, deren Strahlung sich auf der Objektoberfläche in Richtung des Messsystems spiegelt)
ϑO . . . Temperatur des Messobjektes
Durch entsprechende Umstellung der obigen Gleichung erhält man die Formel zur Bestimmung der Objekttemperatur. (Die hier angewandte Vereinfachung gilt für den überwiegenden Teil der allgemeinen thermografischen Messungen unter der Voraussetzung, es befindet sich außer der Luft keine weitere Materie in der Übertragungsstrecke.)

Fortsetzung
Weitere Informationen zu den theoretischen Grundlagen der Thermografie findest Du hier:
Wie entsteht Wärmestrahlung?
Jeder Körper mit einer Temperatur über dem absoluten Nullpunkt (0 K) sendet Strahlung aus ...
Was besagt das Stefan-Boltzmann Gesetz?
Die Gesamtstrahlung eines idealen Strahlers ist direkt proportional zur vierten Potenz der Temperatur ...
Was ist das Plancksche Strahlungsgesetz?
Dieses Gesetz beschreibt Quantität und Wellenlängen der Strahlung in Abhängigkeit von der Temperatur ...
Was sind strahlungs-physikalische Faktoren?
Jede Materie hat einen Emissions-, aber auch Absorptionsgrad, Reflexions- und Transmissionsgrad ...
Wovon hängte der Emissionsgrad ab?
Es besteht eine Abhängigkeit vom Material, dessen Oberflächenrauhigkeit und vom Betrachtungswinkel...
Welche Rolle spielt die Übertragungsstrecke?
Bei den meisten berührungslosen Temperaturmessungen ist die Atmosphäre im Spiel ...